某建设项目,建设期为2年,其向银行贷款1000万元,贷款时间和额度为第1年400万元,第2年600万元,贷款年利率6%,各年借款均在年内均衡发生,建设期不...

作者: rantiku 人气: - 评论: 0
问题 某建设项目,建设期为2年,其向银行贷款1000万元,贷款时间和额度为第1年400万元,第2年600万元,贷款年利率6%,各年借款均在年内均衡发生,建设期不支付利息,则编制该项目投资估算时,建设期利息为()万元。
选项 A:120.00 B:54.72 C:42.72 D:12.00
答案 B
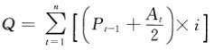
解析 本题考核的是建设期利息的计算。借款额在建设期各年年内均衡发生,建设期利息的计算公式为:。本题计算过程为:建设期利息总和=1/2*400万元*6%+[400万元+(1/2*400元*6%)+1/2*600万元]*6%=54.72万元。

猜你喜欢

发表评论
更多 网友评论0 条评论)
暂无评论

访问排行

Copyright © 2012-2014 恰考网 Inc. 保留所有权利。 Powered by tikuer.com

页面耗时0.0412秒, 内存占用1.03 MB, Cache:redis,访问数据库16次