某项目通过长期借款、短期借款和发行股票分别融资4000万元、1000万元和7000万元,融资的资金成本分别为8%、6%和15%,项目加权平均资金成本为()...

作者: rantiku 人气: - 评论: 0
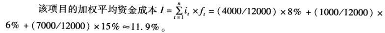
问题 某项目通过长期借款、短期借款和发行股票分别融资4000万元、1000万元和7000万元,融资的资金成本分别为8%、6%和15%,项目加权平均资金成本为()。[2006年真题]
选项 A:9.7% B:10.4% C:11.9% D:12.3%
答案 C
解析

猜你喜欢

发表评论
更多 网友评论0 条评论)
暂无评论

访问排行

Copyright © 2012-2014 恰考网 Inc. 保留所有权利。 Powered by tikuer.com

页面耗时0.0281秒, 内存占用1.03 MB, Cache:redis,访问数据库18次