某人第1年年末借款M元,利率为i,按约定从第3年开始到第n年等额还清所有借款,则在第3年到第n年间,每年需偿还()元。[2010年真题]A:2014-03...

作者: rantiku 人气: - 评论: 0
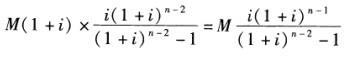
问题 某人第1年年末借款M元,利率为i,按约定从第3年开始到第n年等额还清所有借款,则在第3年到第n年间,每年需偿还()元。[2010年真题]
选项 A:2014-03-12_134238.jpg B:2014-03-12_134249.jpg C:2014-03-12_134301.jpg D:2014-03-12_134313.jpg
答案 A
解析 第1年年末的借款M,到第2年年末时其本利和为M(1+i),若从第3年年末开始到第n年年末等额还本付息,则偿还期为(n-2)年,故利用资金回收公式计算年偿还额为:

猜你喜欢

发表评论
更多 网友评论0 条评论)
暂无评论

访问排行

Copyright © 2012-2014 恰考网 Inc. 保留所有权利。 Powered by tikuer.com

页面耗时0.0618秒, 内存占用1.03 MB, Cache:redis,访问数据库20次