某投资项目,折现率为10%时,净现值为500元;折现率为15%时,净现值为-480元,则该项目的内含报酬率(内部收益率)为()。A:12.25% B:...

作者: rantiku 人气: - 评论: 0
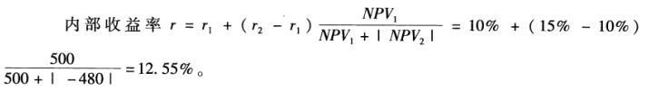
问题 某投资项目,折现率为10%时,净现值为500元;折现率为15%时,净现值为-480元,则该项目的内含报酬率(内部收益率)为()。
选项 A:12.25% B:12.55% C:12.75% D:13.15%
答案 B
解析 式中,r1为较低的试算折现率,r2为较高的试算折现率,NPV1为与r1对应的净现值,NPV2为与r2对应的净现值。

猜你喜欢

发表评论
更多 网友评论0 条评论)
暂无评论

访问排行

Copyright © 2012-2014 恰考网 Inc. 保留所有权利。 Powered by tikuer.com

页面耗时0.0410秒, 内存占用1.03 MB, Cache:redis,访问数据库20次