在项目决策分析与评价中,涨价预备费计算公式的组成项包括()。[2007年真题]A:分年的工程费用 B:工程建设其他费用 C:价格上涨指数 D:...

作者: rantiku 人气: - 评论: 0
问题 在项目决策分析与评价中,涨价预备费计算公式的组成项包括()。[2007年真题]
选项 A:分年的工程费用 B:工程建设其他费用 C:价格上涨指数 D:分年的设备购置费 E:建设期年数
答案 ACE
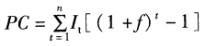
解析 涨价预备费以分年的工程费用为计算基数,计算公式为 式中,PC为涨价预备费It为第t年的工程费用,f为建设期价格上涨指数,n为建设期,t为年份。

猜你喜欢

发表评论
更多 网友评论0 条评论)
暂无评论

访问排行

Copyright © 2012-2014 恰考网 Inc. 保留所有权利。 Powered by tikuer.com

页面耗时0.0477秒, 内存占用1.03 MB, Cache:redis,访问数据库19次