的值为( )。

作者: tihaiku 人气: - 评论: 0
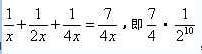
问题 的值为( )。
选项
答案 D
解析 假设210=x,则原式可简化为 故正确答案为D。

相关内容:

猜你喜欢

发表评论
更多 网友评论0 条评论)
暂无评论

Copyright © 2012-2014 恰考网 Inc. 保留所有权利。 Powered by tikuer.com

页面耗时0.0369秒, 内存占用1.05 MB, Cache:redis,访问数据库19次