四人进行篮球传接球练习,要求每人接球后再传给别人。开始由甲发球,并作为第一次传球,若第五次传球后,球又回到甲手中,则共有传球方式( )。A.60种 ...

作者: tihaiku 人气: - 评论: 0
问题 四人进行篮球传接球练习,要求每人接球后再传给别人。开始由甲发球,并作为第一次传球,若第五次传球后,球又回到甲手中,则共有传球方式( )。
选项 A.60种 B.65种 C.70种 D.75种
答案 A
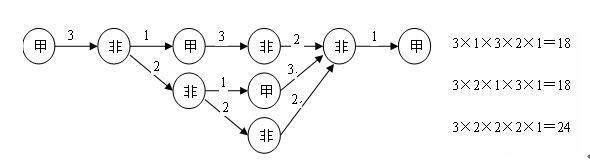
解析 即18+18+24=60。

相关内容:四人,篮球,练习,要求,发球,第一次,传球,球又,手中,共有,方式

猜你喜欢

发表评论
更多 网友评论0 条评论)
暂无评论

Copyright © 2012-2014 恰考网 Inc. 保留所有权利。 Powered by tikuer.com

页面耗时0.0325秒, 内存占用1.05 MB, Cache:redis,访问数据库19次