一项工程由甲、乙、丙三个工程队共同完成需要15天,甲队与乙队的工作效率相同,丙队3天的工作量与乙队4天的工作量相同,三队同时开工2天后,丙队被调往另一工地...

作者: tihaiku 人气: - 评论: 0
问题 一项工程由甲、乙、丙三个工程队共同完成需要15天,甲队与乙队的工作效率相同,丙队3天的工作量与乙队4天的工作量相同,三队同时开工2天后,丙队被调往另一工地,甲、乙两队留下继续工作。那么,开工22天以后,这项工程( )。 A.已经完工 B.余下的量需甲、乙两队共同工作1天 C.余下的量需乙、丙两队共同工作1天 D.余下的量需甲、乙、丙三队共同工作1天
选项
答案 D
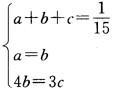
解析 设甲、乙、丙三队每天的工作量分别为根据题意有解得

相关内容:工程,三个,工程队,需要,甲队,乙队,工作,效率,丙队,工作量,三队,同时,开工,工地

猜你喜欢

发表评论
更多 网友评论0 条评论)
暂无评论

Copyright © 2012-2014 恰考网 Inc. 保留所有权利。 Powered by tikuer.com

页面耗时0.0373秒, 内存占用1.05 MB, Cache:redis,访问数据库18次