作者: tihaiku 人气: - 评论: 0
问题
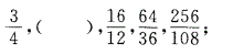
选项
答案 C
解析 分数数列,我们将其整数部分与分数部分分别考虑。 整数部分:100,( ),64,49,36; 分数部分是整数部分是平方数列,括号中的数字应该是81。 而分数部分化简之后是这是一个公比为舍的等比数列,因此括号里应该是4/3X3/4=1。因此空缺项是81 + 1 = 82。故正确答案为C。

相关内容:

猜你喜欢

发表评论
更多 网友评论0 条评论)
暂无评论

Copyright © 2012-2014 恰考网 Inc. 保留所有权利。 Powered by tikuer.com

页面耗时0.0401秒, 内存占用1.01 MB, Cache:redis,访问数据库17次