一项工程甲、乙、丙单独做各要10小时、15小时和20小时,三人合做,中间甲休息几小时, 结果共用6小时完成,甲休息( )小时。 A. 3 B. 3. 5...

作者: tihaiku 人气: - 评论: 0
问题 一项工程甲、乙、丙单独做各要10小时、15小时和20小时,三人合做,中间甲休息几小时, 结果共用6小时完成,甲休息( )小时。 A. 3 B. 3. 5 C. 4 D. 5
选项
答案 A
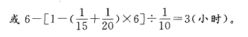
解析

相关内容:工程,做各,10小时,15小时,20小时,几小时,结果,6小时,小时

猜你喜欢

发表评论
更多 网友评论0 条评论)
暂无评论

Copyright © 2012-2014 恰考网 Inc. 保留所有权利。 Powered by tikuer.com

页面耗时0.0274秒, 内存占用1.04 MB, Cache:redis,访问数据库17次