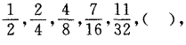
1/2, 1/2, 1/2,7/16,11/32,( ) A. 15/64 B. 1/4 C. 13/48 D. 1/3

作者: tihaiku 人气: - 评论: 0
问题 1/2, 1/2, 1/2,7/16,11/32,( ) A. 15/64 B. 1/4 C. 13/48 D. 1/3
选项
答案 B
解析 原数列部分反约分后为分子数列做差后得到自然数列,分母数列是公比为2的等比数列。故空白处应为16/64,约分后即为1/4。

相关内容:

猜你喜欢

发表评论
更多 网友评论0 条评论)
暂无评论

Copyright © 2012-2014 恰考网 Inc. 保留所有权利。 Powered by tikuer.com

页面耗时0.0372秒, 内存占用1.04 MB, Cache:redis,访问数据库19次