已知某商品的利润占商品原价的1/3,商品成本上升50%后,售价也跟着上涨,若希望保持商品利润在售价中所占的比例不变,售价必须上涨多少个百分点?(  )A....

作者: tihaiku 人气: - 评论: 0
问题 已知某商品的利润占商品原价的1/3,商品成本上升50%后,售价也跟着上涨,若希望保持商品利润在售价中所占的比例不变,售价必须上涨多少个百分点?(  )
选项 A.30 B.40 C.10 D.50
答案 D
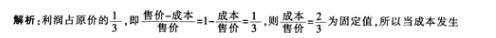
解析 变化时,为保证比值不变,售价应同幅度、同方向变化。

相关内容:商品,利润,原价,售价,跟着,上涨,希望,比例,百分点

猜你喜欢

发表评论
更多 网友评论0 条评论)
暂无评论

Copyright © 2012-2014 恰考网 Inc. 保留所有权利。 Powered by tikuer.com

页面耗时0.0548秒, 内存占用1.05 MB, Cache:redis,访问数据库20次