某公司有甲、乙两个销售团队,共50人,其中女性员工有18人。甲团队男女比例为5:3,乙团队男女比例为2:1,那么,乙团队的男性员工共有(  )名。A.18...

作者: tihaiku 人气: - 评论: 0
问题 某公司有甲、乙两个销售团队,共50人,其中女性员工有18人。甲团队男女比例为5:3,乙团队男女比例为2:1,那么,乙团队的男性员工共有(  )名。
选项 A.18 B.20 C.12 D.9
答案 C
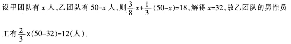
解析

相关内容:公司有,两个,销售,团队,女性,员工,男女,比例,男性,共有,A.18...

猜你喜欢

发表评论
更多 网友评论0 条评论)
暂无评论

Copyright © 2012-2014 恰考网 Inc. 保留所有权利。 Powered by tikuer.com

页面耗时0.0411秒, 内存占用1.05 MB, Cache:redis,访问数据库19次