2012年第一季度与上年同期相比。上海市城市居民家庭人均可支配收入中工资性收入的比重(  )个百分点。A.降低了9.2 B.提高了9.2 C.降低了0...

作者: tihaiku 人气: - 评论: 0
问题 2012年第一季度与上年同期相比。上海市城市居民家庭人均可支配收入中工资性收入的比重(  )个百分点。
选项 A.降低了9.2 B.提高了9.2 C.降低了0.4 D.提高了0.4
答案 D
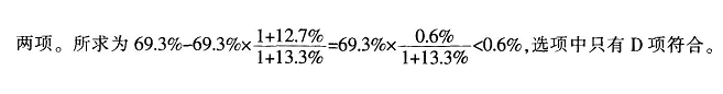
解析 根据表格可知,工资性收入同比增长13.3%,人均可支配收入同比增长12.7%,13.3%>12.7%,则2012年第一季度上海市城市居民家庭人均可支配收入中工资性收入占比高于上年同期.直接排除A、C。

相关内容:2012年,上海市,家庭,收入,工资性,比重,百分点

猜你喜欢

发表评论
更多 网友评论0 条评论)
暂无评论

Copyright © 2012-2014 恰考网 Inc. 保留所有权利。 Powered by tikuer.com

页面耗时0.0298秒, 内存占用1.04 MB, Cache:redis,访问数据库15次