7,10,16,22,( )A.28 B.32 C.34 D.45

作者: tihaiku 人气: - 评论: 0
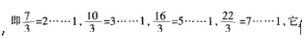
问题 7,10,16,22,( )
选项 A.28 B.32 C.34 D.45
答案 C
解析 把数列的每一项分别除以3, 们的商2,3,5,7,(11)是一个质数数列。按照这个规律,填入空格的项应该是:11x3+1=34,所以,正确选项是C。

相关内容:

猜你喜欢

发表评论
更多 网友评论0 条评论)
暂无评论

Copyright © 2012-2014 恰考网 Inc. 保留所有权利。 Powered by tikuer.com

页面耗时0.0342秒, 内存占用1.03 MB, Cache:redis,访问数据库14次