一个高使用率的四位密码门锁,为了防止他人从按键附着的指纹破解.怎样设置密码相对更安全?A.密码由两个不同的数字组成 B.密码由三个不同的数字组成 C....

作者: tihaiku 人气: - 评论: 0
问题 一个高使用率的四位密码门锁,为了防止他人从按键附着的指纹破解.怎样设置密码相对更安全?
选项 A.密码由两个不同的数字组成 B.密码由三个不同的数字组成 C.密码由四个不同的数字组成 D.密码由三个或四个数字组成
答案 B
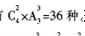
解析 若密码由四个不同的数字组成 若密码由三个不同的数字组成,先选出两个重复数字所在数位然后排序 若密码由两个不同的数字组成,分两种情况,三位重 综上,密码由三个不同的数字组成最安全。

相关内容:使用率,密码,门锁,按键,指纹,两个,数字,三个

猜你喜欢

发表评论
更多 网友评论0 条评论)
暂无评论

Copyright © 2012-2014 恰考网 Inc. 保留所有权利。 Powered by tikuer.com

页面耗时0.0352秒, 内存占用1.04 MB, Cache:redis,访问数据库13次