如图,在△ABC中,已知BD=2DC,EC=2AE,则△BFD与△AEF面积的比值为( ) A.4 B.6 ...

作者: tihaiku 人气: - 评论: 0
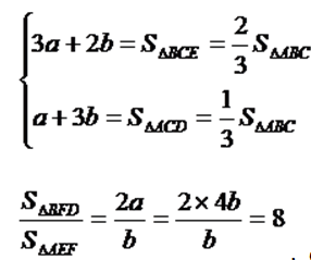
问题 如图,在△ABC中,已知BD=2DC,EC=2AE,则△BFD与△AEF面积的比值为( )
选项 A.4 B.6 C.8 D.9
答案 C
解析 C。几何问题。连接CF,因为BD=2DC,EC=2AE,所以设 ,则 ;设 ,则 。结合图形列方程组得 ,两式相除可 得a=4b。所以 ,C项当选。

相关内容:如图,面积,比值

猜你喜欢

发表评论
更多 网友评论0 条评论)
暂无评论

访问排行

Copyright © 2012-2014 恰考网 Inc. 保留所有权利。 Powered by tikuer.com

页面耗时0.0433秒, 内存占用1.04 MB, Cache:redis,访问数据库18次