2014年,某市十大产业链企业累计完成产值3528.8亿元,同比增长13.4%,实现主营业务收入3478.8亿元、利税348.9亿元、利润222.9亿元,...

作者: tihaiku 人气: - 评论: 0
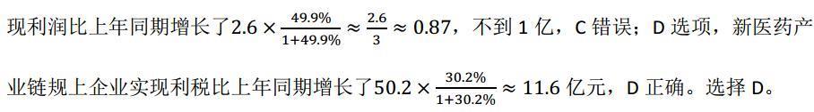
问题 2014年,某市十大产业链企业累计完成产值3528.8亿元,同比增长13.4%,实现主营业务收入3478.8亿元、利税348.9亿元、利润222.9亿元,同比分别增长13.0%、19.4%和19.5%。其中,十大产业链规模以上企业共完成产值3520.2亿元,同比增长13.3%;实现主营业务收入3469.9亿元、利税348.4亿元、利润222.7亿元。 碳材料产业链是十大产业链中增长最快的产业,产值、主营业务收入、利税和利润同比分别增长45.4%、49.8%、46.7%和33.8%。 新医药产业链规上企业共完成产值402.3亿元、主营业务收入391.1亿元,同比分别增长10.9%和12.2%,实现利税50.2亿元、利润32.3亿元,同比分别增长30.2%和26.2%。 新光源产业链规上企业累计完成产值94.0亿元、主营业务收入89.6亿元,实现利税4.6亿元、利润2.6亿元,同比分别增长10.7%、12.3%、30.1%和49.9%。 全市智能电网产业链规上企业共完成产值733.2亿元、主营业收入730.1亿元,同比分别增长7.0%、6.5%。 关于该市2014年十大产业链发展状况,能够从上述资料中推出的是()。
选项 A.主营业务收入占产值比重高于上年水平 B.规模以下企业当年实现利润额为负数 C.新光源产业链规上企业实现利润比上年同期增长了1亿多元 D.新医药产业链规上企业实现利税比上年同期增长了11亿多元
答案 D
解析 A选项,比重变化判断,主营业收入的增速为13.0%,产值的增速13.4%,部分增速小于整体,比重下降即低于上年水平,A错误;B选项,总利润222.9亿元,规模以上利润222.7亿元,规模以下为0.2亿元,非负值,B错误;C选项,新光源产业链规上企业实

相关内容:2014年,产业链,企业,产值,3528.8亿元,同比,增长,主营业务,收入,3478.8亿元,利税,348.9亿元,利润,222.9亿元

猜你喜欢

发表评论
更多 网友评论0 条评论)
暂无评论

访问排行

Copyright © 2012-2014 恰考网 Inc. 保留所有权利。 Powered by tikuer.com

页面耗时0.0293秒, 内存占用1.05 MB, Cache:redis,访问数据库17次