策略制定。所给出的资料有若干个问题要你回答。你应根据资料提供的信息进行分析、判断、计算并选择解决问题的最优途径。 请开始答题: 某城市环境监管部门对该...

作者: tihaiku 人气: - 评论: 0
问题 策略制定。所给出的资料有若干个问题要你回答。你应根据资料提供的信息进行分析、判断、计算并选择解决问题的最优途径。 请开始答题: 某城市环境监管部门对该市企业排水是否达标进行抽样检测,抽取的排水样品需要送至实验室进行检测分析,该实验室人员及收费情况如下: (1)该实验室现有专业检测员6名(其中甲、乙、丙不同等级各2人)、实习检测员4名,有同型号检测仪器2台且每台仪器同时只能由1名检测员操作。 (2)实习测验员每小时可测3个样品,测验一个样品仅收费40元(无需再另行支付机器使用费)。实验室规定:如让实习检验员连续检测9个样品,赠送检方100元机器使用费。 (3)专业检测员使用机器检测样品每小时收机器使用费100元,不足一小时按一小时收费。 (4)甲、乙、丙三级检验员每小时分别可检测6、5、4个样品,人工费每小时分别为180、100、40元。 (5)实习、丙级、乙级检测员经过实践可以提升自己的级别,每人每次仅可提升一级,不可跨级别提升(甲级专业检验员为最高级别不可再提升)。 ?每台仪器安排甲乙丙三级检测员各1名,实习检测员各2名,则不同的人员安排方式有多少种?( )
选项 A.24 B.48 C.72 D.96
答案 A
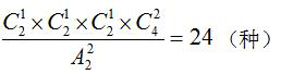
解析 由题意,不同的人员安排方式有 本题选A。

相关内容:策略,资料,问题,信息,分析,判断,途径,城市环境,监管部门

猜你喜欢

发表评论
更多 网友评论0 条评论)
暂无评论

访问排行

Copyright © 2012-2014 恰考网 Inc. 保留所有权利。 Powered by tikuer.com

页面耗时0.0269秒, 内存占用1.05 MB, Cache:redis,访问数据库19次