一天晚上,小刚开着电脑一边听音乐一边下载电影,但下载到50%时他睡着了,当他鹿来 时,发现还得下载睡着时下载的一半流量。他睡着时所下载的流量最电影的()。...

作者: tihaiku 人气: - 评论: 0
问题 一天晚上,小刚开着电脑一边听音乐一边下载电影,但下载到50%时他睡着了,当他鹿来 时,发现还得下载睡着时下载的一半流量。他睡着时所下载的流量最电影的()。
选项
答案 B
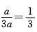
解析 假设小刚睡着时下载的流量为a,则当小刚醒来时还得下载,故整个电影的流量为,因此睡着时所下载的流量为整个电影的

相关内容:小刚,电脑,音乐,下载电影,时他,流量,时所,电影

猜你喜欢

发表评论
更多 网友评论0 条评论)
暂无评论

访问排行

Copyright © 2012-2014 恰考网 Inc. 保留所有权利。 Powered by tikuer.com

页面耗时0.0555秒, 内存占用1.05 MB, Cache:redis,访问数据库18次