表观分布容积的表示方法是A.V=X0/C0B.t1/2(β)=0.693MRTivC.D.C=C0e-ktE.

作者: tihaiku 人气: - 评论: 0
问题 表观分布容积的表示方法是
选项

A.V=X0/C0
B.t1/2(β)=0.693MRTiv
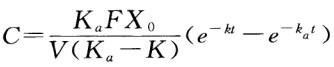
C.
D.C=C0e-kt
E.

答案 A
解析 本组题考查药动学基本公式。表观分布容积V=X0/C0;单室模型静脉注射给药血药浓度-时间公式为C=C0e-Kt;单室模型血管外给药血药浓度-时间公式为C=,Ka为吸收速度常数,只有血管外给药有吸收过程。故本组题答案应选AD。

猜你喜欢

发表评论
更多 网友评论0 条评论)
暂无评论

Copyright © 2012-2014 恰考网 Inc. 保留所有权利。 Powered by tikuer.com

页面耗时0.0676秒, 内存占用1.03 MB, Cache:redis,访问数据库13次