表观分布容积的表示方法是

作者: tihaiku 人气: - 评论: 0
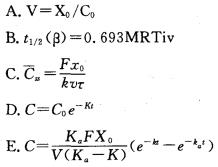
问题 表观分布容积的表示方法是
选项
答案 A
解析 本组题考查药动学基 本公式。表观分布容积V= X0/C0;单 室模型静脉注射给药血药浓度一时 间公式为C=C0e-kt;单室模型血管 外给药血药浓度一时间公式为C=Ka为吸收速度常数,只有血管外给药有吸收过程。

猜你喜欢

发表评论
更多 网友评论0 条评论)
暂无评论

Copyright © 2012-2014 恰考网 Inc. 保留所有权利。 Powered by tikuer.com

页面耗时0.0340秒, 内存占用1.04 MB, Cache:redis,访问数据库19次