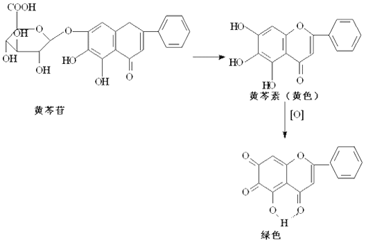
下列化合物的结构属于 黄芩苷和黄芩素A.黄酮 B.二氢黄酮 C.异黄酮 D.黄酮醇 E.黄烷-3-醇

作者: tihaiku 人气: - 评论: 0
问题 下列化合物的结构属于 黄芩苷和黄芩素
选项 A.黄酮 B.二氢黄酮 C.异黄酮 D.黄酮醇 E.黄烷-3-醇
答案 A
解析

相关内容:化合物,结构,黄芩苷,和黄,芩素,黄酮,二氢,异黄酮,黄酮醇,黄烷

猜你喜欢

发表评论
更多 网友评论0 条评论)
暂无评论

Copyright © 2012-2014 恰考网 Inc. 保留所有权利。 Powered by tikuer.com

页面耗时0.0317秒, 内存占用1.04 MB, Cache:redis,访问数据库18次