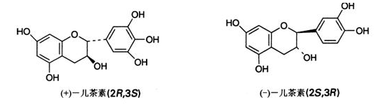
属于黄烷-3-醇类的是A.葛根素 B.芦丁 C.橙皮苷 D.黄芩苷 E.儿茶素

作者: tihaiku 人气: - 评论: 0
问题 属于黄烷-3-醇类的是
选项 A.葛根素 B.芦丁 C.橙皮苷 D.黄芩苷 E.儿茶素
答案 E
解析

相关内容:黄烷,葛根,芦丁,橙皮,黄芩苷,儿茶

猜你喜欢

发表评论
更多 网友评论0 条评论)
暂无评论

Copyright © 2012-2014 恰考网 Inc. 保留所有权利。 Powered by tikuer.com

页面耗时0.0331秒, 内存占用1.05 MB, Cache:redis,访问数据库19次