水解后容易变绿的化合物是

作者: tihaiku 人气: - 评论: 0
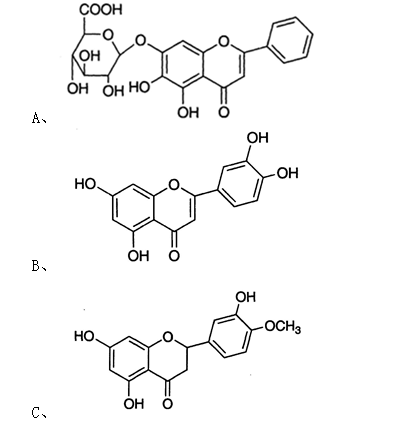
问题 水解后容易变绿的化合物是
选项
答案 A
解析 黄芩苷经水解后生成的黄芩素分子中具有邻三酚羟基,易被氧化转为醌类衍生物而显绿色,这是保存或炮制不当的黄芩能够变绿色的原因。

猜你喜欢

发表评论
更多 网友评论0 条评论)
暂无评论

Copyright © 2012-2014 恰考网 Inc. 保留所有权利。 Powered by tikuer.com

页面耗时0.0637秒, 内存占用1.04 MB, Cache:redis,访问数据库18次