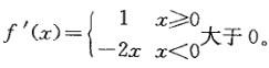
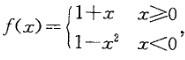
设函数在(-∞,+∞)内: A.单调减少 B.单调增加C.有界 D.偶函数

作者: rantiku 人气: - 评论: 0
问题 设函数在(-∞,+∞)内: A.单调减少 B.单调增加 C.有界 D.偶函数
选项
答案 B
解析 提示:方法一可通过画出的图形判定,方法二求导数

猜你喜欢

发表评论
更多 网友评论0 条评论)
暂无评论

访问排行

Copyright © 2012-2014 恰考网 Inc. 保留所有权利。 Powered by tikuer.com

页面耗时0.0401秒, 内存占用1.03 MB, Cache:redis,访问数据库19次