若函数f(x)在点x0间断,g(x)在点x0连续,则f(x)g(x)在点x0 :A.间断B.连续C.第一类间断 D.可能间断可能连续

作者: rantiku 人气: - 评论: 0
问题 若函数f(x)在点x0间断,g(x)在点x0连续,则f(x)g(x)在点x0 : A.间断 B.连续 C.第一类间断 D.可能间断可能连续
选项
答案 D
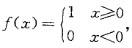
解析 提示:通过举例来说明。连续的例题:设:x0=0,在x0=0处间断,g(x)=0,在x=0处连续,而f(x)?g(x)=0,在x0=0连续。 间断的例题:设:x0=0,在x0=0处间断,g(x)=1,在x=0处连续,而f(x)?g(x)=0,在x0=0连续。 而

猜你喜欢

发表评论
更多 网友评论0 条评论)
暂无评论

访问排行

Copyright © 2012-2014 恰考网 Inc. 保留所有权利。 Powered by tikuer.com

页面耗时0.0417秒, 内存占用1.03 MB, Cache:redis,访问数据库20次