曲线y=x3 - 6x上切线平行于轴的点是:

作者: rantiku 人气: - 评论: 0
问题 曲线y=x3 - 6x上切线平行于轴的点是:
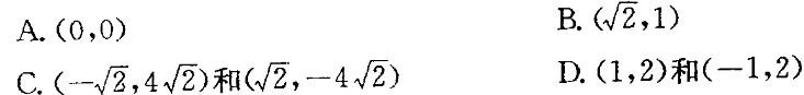
选项
答案 C
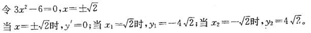
解析 提示:x轴的斜率K=0,在曲线y=x3-6x上找出一点在该点切线的斜率也为K =0,求导,y=x3-6x,y‘=3x2-6

猜你喜欢

发表评论
更多 网友评论0 条评论)
暂无评论

访问排行

Copyright © 2012-2014 恰考网 Inc. 保留所有权利。 Powered by tikuer.com

页面耗时0.0297秒, 内存占用1.03 MB, Cache:redis,访问数据库20次