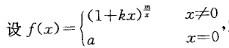
,则a为何值时,f(x)在x=0点连续?A. em B. ekC. e-mk D.emk

作者: rantiku 人气: - 评论: 0
问题 ,则a为何值时,f(x)在x=0点连续? A. em B. ekC. e-mk D.emk
选项
答案 D
解析 而f(0)=a,所以a=emk 。

猜你喜欢

发表评论
更多 网友评论0 条评论)
暂无评论

访问排行

Copyright © 2012-2014 恰考网 Inc. 保留所有权利。 Powered by tikuer.com

页面耗时0.0296秒, 内存占用1.03 MB, Cache:redis,访问数据库19次