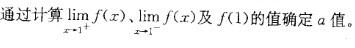
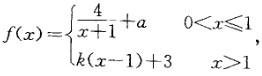
设函数要使f(x)在点x=1处连续,则a的值应是:A.-2 B.-1 C.0 D.1

作者: rantiku 人气: - 评论: 0
问题 设函数要使f(x)在点x=1处连续,则a的值应是: A.-2 B.-1 C.0 D.1
选项
答案 D
解析 提示:利用函数在一点连续的定义,

猜你喜欢

发表评论
更多 网友评论0 条评论)
暂无评论

访问排行

Copyright © 2012-2014 恰考网 Inc. 保留所有权利。 Powered by tikuer.com

页面耗时0.0337秒, 内存占用1.03 MB, Cache:redis,访问数据库17次