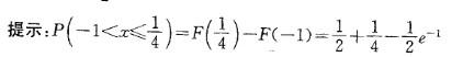
设随机变量X的分布函数
相关内容:变量,函数
- χ 的分布函数 F(χ),而 F(χ)则 E(χ)等于:(A) 0.7 (B) 0.75(C) 0.6 (D) 0.8
- 离散型随机变量X的分布为为P(X=k)=,(k=0,1,2...),则不成立的是:(A) c>0(B)0<λ<1 (C)c=1-λ (D)
- 函数y = f (x)在点x = x0,处取得极小值,则必有:
- D 域由 x 轴,x2 + y2 ? 2x = 0( y ≥ 0)及 x+y=2 所围成, f (x, y)是连续函数,化
- 下列各波函数不合理的是:(A) ψ(1,1,0) (B) ψ(2,1,0) (C) ψ(3,2,0) (D) ψ(5,3,0)