函数y=x+x x ,在x=0 处应:A.连续且可导 B.连续但不可导 C.不连续 D.以上均不对

作者: rantiku 人气: - 评论: 0
问题 函数y=x+x x ,在x=0 处应: A.连续且可导 B.连续但不可导 C.不连续 D.以上均不对
选项
答案 A
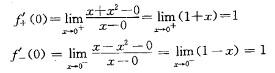
解析 故x=0处连续 故x=0处可导

猜你喜欢

发表评论
更多 网友评论0 条评论)
暂无评论

访问排行

Copyright © 2012-2014 恰考网 Inc. 保留所有权利。 Powered by tikuer.com

页面耗时0.0666秒, 内存占用1.03 MB, Cache:redis,访问数据库19次