设y=(1+x)1/x,则y‘(1)等于:A. 2 B. e C. 1、2-ln2 D. 1-ln4

作者: rantiku 人气: - 评论: 0
问题 设y=(1+x)1/x,则y‘(1)等于: A. 2 B. e C. 1、2-ln2 D. 1-ln4
选项
答案 D
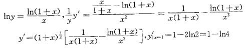
解析 提示:幂指函数导数利用对数求导法。计算如下:

猜你喜欢

发表评论
更多 网友评论0 条评论)
暂无评论

访问排行

Copyright © 2012-2014 恰考网 Inc. 保留所有权利。 Powered by tikuer.com

页面耗时0.0308秒, 内存占用1.03 MB, Cache:redis,访问数据库18次