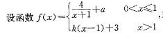
若f(x)在点x=1连续而且可导,则k的值是:A. 2 B. -2 C.-1 D. 1

作者: rantiku 人气: - 评论: 0
问题 若f(x)在点x=1连续而且可导,则k的值是: A. 2 B. -2 C.-1 D. 1
选项
答案 C
解析 提示:利用函数在一点连续且可导的定义确定k值。计算如下:

猜你喜欢

发表评论
更多 网友评论0 条评论)
暂无评论

访问排行

Copyright © 2012-2014 恰考网 Inc. 保留所有权利。 Powered by tikuer.com

页面耗时0.0383秒, 内存占用1.03 MB, Cache:redis,访问数据库19次