设一个三次函数的导数为x2-2x-8,则该函数的极大值与极小值的差是:A. -36 B.12 C. 36 D.以上都不对

作者: rantiku 人气: - 评论: 0
问题 设一个三次函数的导数为x2-2x-8,则该函数的极大值与极小值的差是: A. -36 B.12 C. 36 D.以上都不对
选项
答案 C
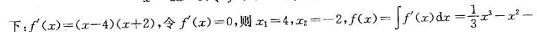
解析 提示:已知f'(x)=x2-2x-8,令f'(x)=0,求驻点,确定函数极大值、极小值。解法如 8x+c。经计算,x=-2时,f(x)取得极大值;x=4时,f(x)取得极小值,则f(-2)-f(4)=36。

猜你喜欢

发表评论
更多 网友评论0 条评论)
暂无评论

访问排行

Copyright © 2012-2014 恰考网 Inc. 保留所有权利。 Powered by tikuer.com

页面耗时0.0542秒, 内存占用1.03 MB, Cache:redis,访问数据库18次