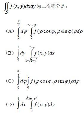
D 域由 x 轴,x2 + y2 ? 2x = 0( y ≥ 0)及 x+y=2 所围成, f (x, y)是连续函数,化

作者: rantiku 人气: - 评论: 0
问题 D 域由 x 轴,x2 + y2 ? 2x = 0( y ≥ 0)及 x+y=2 所围成, f (x, y)是连续函数,化
选项
答案 B
解析 解:选 B。 画积分区域如下图所示,
  • 上一篇:
  • 下一篇:

猜你喜欢

发表评论
更多 网友评论0 条评论)
暂无评论

访问排行

Copyright © 2012-2014 恰考网 Inc. 保留所有权利。 Powered by tikuer.com

页面耗时0.0325秒, 内存占用1.03 MB, Cache:redis,访问数据库18次