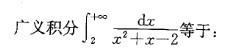
A.收敛于(2/3)ln2B.收敛于(3/2)ln2C.收敛于(1/3)ln(1/4)D.发散

作者: rantiku 人气: - 评论: 0
问题 A.收敛于(2/3)ln2 B.收敛于(3/2)ln2 C.收敛于(1/3)ln(1/4) D.发散
选项
答案 A
解析 提示:把分母配方或拆项。计算如下:

猜你喜欢

发表评论
更多 网友评论0 条评论)
暂无评论

访问排行

Copyright © 2012-2014 恰考网 Inc. 保留所有权利。 Powered by tikuer.com

页面耗时0.0280秒, 内存占用1.03 MB, Cache:redis,访问数据库18次