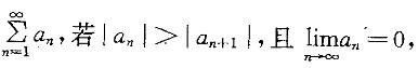
设任意项级数则对该级数下列哪个结论正确?A.必条件收敛 B.必绝对收敛C.必发散 D.可能收敛,也可能发散

作者: rantiku 人气: - 评论: 0
问题 设任意项级数则对该级数下列哪个结论正确? A.必条件收敛 B.必绝对收敛 C.必发散 D.可能收敛,也可能发散
选项
答案 D
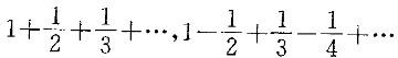
解析 提示:举例说明,级数均满足条件,但前面级数发散, 后面级数收敛,敛散性不能确定。

猜你喜欢

发表评论
更多 网友评论0 条评论)
暂无评论

访问排行

Copyright © 2012-2014 恰考网 Inc. 保留所有权利。 Powered by tikuer.com

页面耗时0.0325秒, 内存占用1.03 MB, Cache:redis,访问数据库19次