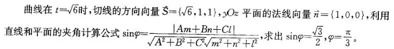
曲线x=t2/2,y=t+3,z=(1/18)t3+4 (t≥0)上对应于面的夹角为:A.π/3 B.π/6 C.π/2 D.π/4

作者: rantiku 人气: - 评论: 0
问题 曲线x=t2/2,y=t+3,z=(1/18)t3+4 (t≥0)上对应于 面的夹角为: A.π/3 B.π/6 C.π/2 D.π/4
选项
答案 A
解析 提示:利用向量和平面的夹角的计算公式计算。

猜你喜欢

发表评论
更多 网友评论0 条评论)
暂无评论

访问排行

Copyright © 2012-2014 恰考网 Inc. 保留所有权利。 Powered by tikuer.com

页面耗时0.0506秒, 内存占用1.03 MB, Cache:redis,访问数据库19次