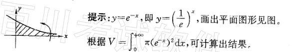
曲线y =-ex(x≥0)与直线x= 0,y = 0所围图形绕Ox轴旋转所得旋转体的体积为:A. π/2 B. π C.π/3 D.π/4

作者: rantiku 人气: - 评论: 0
问题 曲线y =-ex(x≥0)与直线x= 0,y = 0所围图形绕Ox轴旋转所得旋转体的体积为:A. π/2 B. π C.π/3 D.π/4
选项
答案 A
解析

猜你喜欢

发表评论
更多 网友评论0 条评论)
暂无评论

访问排行

Copyright © 2012-2014 恰考网 Inc. 保留所有权利。 Powered by tikuer.com

页面耗时0.0440秒, 内存占用1.03 MB, Cache:redis,访问数据库19次