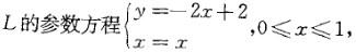
设L为连接(0,2)和(1,0)的直线段,

作者: rantiku 人气: - 评论: 0
问题 设L为连接(0,2)和(1,0)的直线段,
选项
答案 D
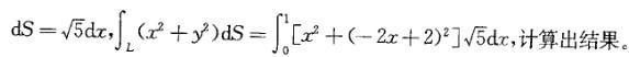
解析 提示:利用已知两点求出直线方程L:y=-2x+2,

猜你喜欢

发表评论
更多 网友评论0 条评论)
暂无评论

访问排行

Copyright © 2012-2014 恰考网 Inc. 保留所有权利。 Powered by tikuer.com

页面耗时0.0336秒, 内存占用1.03 MB, Cache:redis,访问数据库20次