微分方程y''+2y=0的通解是:(A,B为任意常数)

作者: rantiku 人气: - 评论: 0
问题 微分方程y''+2y=0的通解是: (A,B为任意常数)
选项
答案 D
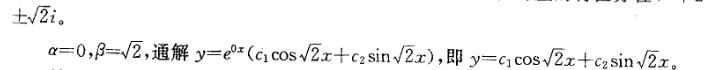
解析 提示:本题为二次常系数线性齐次方程求通解,写出方程对应的特征方程r2+2 = 0,r =

猜你喜欢

发表评论
更多 网友评论0 条评论)
暂无评论

访问排行

Copyright © 2012-2014 恰考网 Inc. 保留所有权利。 Powered by tikuer.com

页面耗时0.0431秒, 内存占用1.03 MB, Cache:redis,访问数据库20次