直线与y=H及y轴所围图形绕y轴旋转一周所得旋转体的体积为:(H,R为任意常数)

作者: rantiku 人气: - 评论: 0
问题 直线与y=H及y轴所围图形绕y轴旋转一周所得旋转体的体积为:(H,R为任意常数)
选项
答案 A
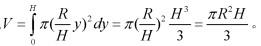
解析 体积:

猜你喜欢

发表评论
更多 网友评论0 条评论)
暂无评论

访问排行

Copyright © 2012-2014 恰考网 Inc. 保留所有权利。 Powered by tikuer.com

页面耗时0.0288秒, 内存占用1.03 MB, Cache:redis,访问数据库18次