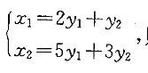
如果从变量y1,y2到x1,x2的线性变换是,则变量x1,x2到变量y1,y2的线性变换是:

作者: rantiku 人气: - 评论: 0
问题 如果从变量y1,y2到x1,x2的线性变换是,则变量x1,x2到变量y1,y2的线性变换是:
选项
答案 A
解析

猜你喜欢

发表评论
更多 网友评论0 条评论)
暂无评论

访问排行

Copyright © 2012-2014 恰考网 Inc. 保留所有权利。 Powered by tikuer.com

页面耗时0.0402秒, 内存占用1.03 MB, Cache:redis,访问数据库20次