若P(A) = 0. 8,A. 0. 4 B. 0. 6 C. 0. 5 D. 0. 3

作者: rantiku 人气: - 评论: 0
问题 若P(A) = 0. 8, A. 0. 4 B. 0. 6 C. 0. 5 D. 0. 3
选项
答案 A
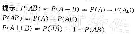
解析

猜你喜欢

发表评论
更多 网友评论0 条评论)
暂无评论

访问排行

Copyright © 2012-2014 恰考网 Inc. 保留所有权利。 Powered by tikuer.com

页面耗时0.0402秒, 内存占用1.03 MB, Cache:redis,访问数据库19次