设平面π的方程为3x -4y -5z -2 = 0,以下选项中错误的是:(A)平面π过点(-1,0,-1)(B)平面π的法向量为-3i + 4 j...

作者: rantiku 人气: - 评论: 0
问题 设平面π的方程为3x -4y -5z -2 = 0,以下选项中错误的是: (A)平面π过点(-1,0,-1) (B)平面π的法向量为-3i + 4 j + 5k (D) 平面π与平面-2 x -y -2 z + 2 = 0垂直
选项
答案 D
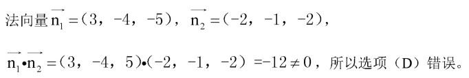
解析

猜你喜欢

发表评论
更多 网友评论0 条评论)
暂无评论

访问排行

Copyright © 2012-2014 恰考网 Inc. 保留所有权利。 Powered by tikuer.com

页面耗时0.0396秒, 内存占用1.03 MB, Cache:redis,访问数据库20次