甲乙两人独立地向同一目标各射击一次,命中率分别为0. 8和0. 6,现已知目标被击中,则它是甲射中的概率为:A. 0. 26 B. 0. 87 C. ...

作者: rantiku 人气: - 评论: 0
问题 甲乙两人独立地向同一目标各射击一次,命中率分别为0. 8和0. 6,现已知目标被击中,则它是甲射中的概率为: A. 0. 26 B. 0. 87 C. 0. 52 D. 0. 75
选项
答案 B
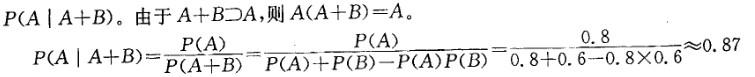
解析 提示:设“甲击中”为A,“乙击中”为B,A、B独立,目标被击中即甲、乙至少一人击中,求

猜你喜欢

发表评论
更多 网友评论0 条评论)
暂无评论

访问排行

Copyright © 2012-2014 恰考网 Inc. 保留所有权利。 Powered by tikuer.com

页面耗时0.0454秒, 内存占用1.03 MB, Cache:redis,访问数据库20次