设总体X的概率密度为f(x)=其中θ>-1是未知参数,X1,X2,...Xn是来自总体X的样本,则θ的矩估计量是:

作者: rantiku 人气: - 评论: 0
问题 设总体X的概率密度为f(x)=其中θ>-1是未知参数,X1,X2,...Xn是来自总体X的样本,则θ的矩估计量是:
选项
答案 B
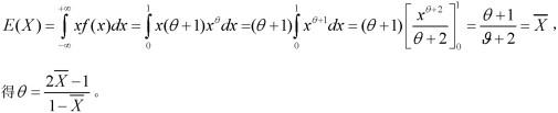
解析 X的数学期望

猜你喜欢

发表评论
更多 网友评论0 条评论)
暂无评论

访问排行

Copyright © 2012-2014 恰考网 Inc. 保留所有权利。 Powered by tikuer.com

页面耗时0.0902秒, 内存占用1.03 MB, Cache:redis,访问数据库19次