有两列频率不同的声波在空气中传播,已知v1=500Hz的声波在其传播方向相距为l的两点的振动相位差为π,那么频率v2=1000HZ的声波在其传播方向相距为...

作者: rantiku 人气: - 评论: 0
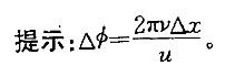
问题 有两列频率不同的声波在空气中传播,已知v1=500Hz的声波在其传播方向相距为l的两点的振动相位差为π,那么频率v2=1000HZ的声波在其传播方向相距为l/2的两点的相位差为: A.π/2 B.π C. 3π/4 D. 3π/2
选项
答案 B
解析

猜你喜欢

发表评论
更多 网友评论0 条评论)
暂无评论

访问排行

Copyright © 2012-2014 恰考网 Inc. 保留所有权利。 Powered by tikuer.com

页面耗时0.0409秒, 内存占用1.03 MB, Cache:redis,访问数据库20次