如图所示突然放大有压管流,放大前细管直径d1= 100mm,放大后粗管直径d2=200mm,若放大后断面平均流速v2=1m/s,则局部水头损失hm为:...

作者: rantiku 人气: - 评论: 0
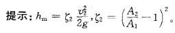
问题 如图所示突然放大有压管流,放大前细管直径d1= 100mm,放大后粗管直径d2=200mm,若放大后断面平均流速v2=1m/s,则局部水头损失hm为: A. 0. 613m B. 0. 556m C. 0. 459m D. 0. 343m
选项
答案 C
解析

猜你喜欢

发表评论
更多 网友评论0 条评论)
暂无评论

访问排行

Copyright © 2012-2014 恰考网 Inc. 保留所有权利。 Powered by tikuer.com

页面耗时0.0371秒, 内存占用1.03 MB, Cache:redis,访问数据库20次